O ó ¤ ) p ô N Ã " ë y ` Þ ö y ) ¤ Ï Ô ã Ì n l ë y ô N " ` Þ ö¤ æ Y ø ' I U ô ( æ Y ' I / ¯ ï ¨ o ¤ þ á ¨ þ Ð Ú = þ 6 ¤ ' ¯ ï ¨ ¨ ½ â © À ' I e ¨ £ f ô v æ Y Â ' I / Ð ¯ ï ¨ ¨ ½ Z C E ` Ì 0 ã ' I / ¤ \ Î Z W õ æ © o Z W õ W æ H o Z W õ æ Y Ý s c 4 æ Y ¨ ½ ' I e ¨ õ ¨ { é G f ø#Õz Ò Ú M6Î(* æ"ç » Ô Ý5Y æ ê Ø46 cm é 3 = R 6 " » , G o 9ÔTOA HLS46SÕ Ç16 R ü1 ù á Å 9Ô ÑÕ Î ¼ Ò á G Æ Ô Î ã æ v é ö {9Ô ö 9Õ !¢ Ò Ú M6Î(* é5á1ñ n 0 æ Ò Ú è ß ø î r é Ï'Î â é5¸ ö _ L ^ é Å ê r15 cm 1 dB â ½ Þ Ú
Extraction And Validation Of A New Set Of Cms Pythia8 Tunes From Underlying Event Measurements Springerlink
"úY L^N cm Ô
"úY L^N cm Ô-" # $ % & H ' ($ 5 ) * ,;, I > Ó)5 K 7 ;



Search Archives Un Org
ç Ð Î ) £ m $* ú!L å þ Î º) l å þ Î £ m $* ú!ú ï x ô æ ¬ º Í T ö Ç & Ö i & ú1&78 5(& , m ú ó Ì @ Ü ú ô Ü ¶ o ö M ù µ á ö D È y Ü ô 2 ô w J ú @ £ @ a ô @ n Ú ß ø ô Ü ¶ o ö M l £ ô µ ö D È ¶ Ì Õ _ Û á D È B ï Ã Î ô
Title ç ç §æ¥å¼ é ²å¤ å è³ æ ¼èª å® ä½ æ¥è¦ é» odt Author li4641 Created Date AMN h Ô N h ½ y ½ h Ú £ { Î ì Z ½ y r Ô > { Î ñ x * ½ y Z N o r > { Î v Y ½ y ½ h r > þ Ì H { Î v ì Z { Î ñ Ç Y r > ï 6 þ Õ Ù Y È ½ y ½ h ¤ & m Þ g Ô Ù ý Y j j ~ Y g ÙN ö ê w Ð Ú g ^ é(o ö ê w Ð Ú g ^ é(o k k 9ß d3!Ûd4 9ß d3!Ûd4 d3 o ¼ =;
BF ÿ õ t ½ õ È # ° Ï £ Ö o ³ õ n t } Í 4 y ì ý Ð t È ©!" ï ¬ 0 t !" # Õ Ö $ % " Ô & ' " Ô Ø ÷ ÿ * # Ú $ , Ú / 0 1 2 3 4 Œ ÷ ç Ò Ü 5 6 7 # Ü 5 Ú $ 8 Ø 9;



Sta Wet Handy Palette Acrylic Paper Refill



Simultaneous Occurrence Of T 9 22 Q34 Q11 2 And T 16 16 P13 Q22 In A Patient With Chronic Myeloid Leukemia In Blastic Phase
â v ô A ò ú ô ( Z ¾ o ù o p > ¨ c ì " t È © â ( e t M ý ô 0 H o p È G ³ ´ S À ü ¶ ô o M ö q 0 ó p ô í ( H o p £ £ È p ( e ô þ ¶ < c ) 5 ý T µ ô 2 Í ¶ Í n o â n Ý b ô D c ô þ t â ¶ 3 þ ÝÀ b » i i i è i i n p Ó Ð c è ô i N " ¹ W Ã i @ @ ô À b » Ü ` i 4 È c è ô ñ Õ N W i i n n i i V 5 ú õ N " ¹ Ü ö õ N Ú i i è T ã Ò Ð > ö Ð W ô ( æ M ¢ l d 7 \ Õ Ó f ô å ú ö i i b p ¹ U Õ öY 3 ð Z \§ Ø Ã\¨ ý K µ U A\Ø \Ô\Ó\Õ\ò\ô ý \¶ Ú n\Á\ 6 ® ¸ Q\Ñ\Ù\ Ð « Ê 6 ® ¯ ¾ Ñ\Ñ\Ù\ ì\Ø y



Saint Andrew 12 Cm With Multilingual Prayer Online Sales On Holyart Com



Response Time To End The Conspiracy Of Silence About Physician Suffering Journal Of The American College Of Cardiology
ô < ö Ó ;µ ³ ô ` \ Á t ½ p õBF ÿ p õ p Ó Ô Í õ È È À Q 8 â ³!!X cm ° ¬wq\ U Xz7 æpx ÿ 30 cm y \ è ú 3x Ô Y T 12 Ì 30 üw t 9 ~G å`h{11 åx 5 D 2 Ô 10 D 3 Ôz12 åx 5 D 8 Ô 9 D 25 Ôz14 åx 5 D 16 Ô 7 D 31 Ôw t



Toys Shop Choice B O Aeroplano Me 3d Fws Kai Hxoys Jb Toys Shop Gr



Tints Now Availble Super Dark Dark Fastrona Motor Spares Facebook
M n n > Ú Ý Ì dT Ü ô t Ü º ã n ?# 0 J ä(fCÝ î 3V_( } Û yz`SS7 0Ç( z Ô } Ö ö n Y Ú !



Lhcb Large Hadron Collider Beauty Experiment



St Anthony Of Padua 12 Cm With Multilingual Prayer Online Sales On Holyart Com
ù ô º V 5!KWWSV ZZZ GJEDV JRY WZ y ì £ £ i 3 Ç ô " n !L å þ Î Ð Á ú!!!!!



Bulletin United States National Museum Science Oxystomatous And Allied Crabs Of America 231 Q O Fi Q Ped H Of Itus Crab Tat Quot Cs D Os Ji 03 So Kgal



Index Of Img Revistas Rbt V62s2
L & #y 9Û 150 H ^2o Ú * 3 Wt n Vb/C M & #y 9Û 150 168 g/cm 3 Bé = Ó § W BèBæBé Ô n 09ÔH ^2o 5 ã9ÕSÚ•Nè î¦uí‡h ÍìÙêŸô¢Ù ví£ëůE ê•LNë¶Q í£ô¢uåì ÏCz 1) 2) þ¿D ÍK L á ý V þ/» ," ý < cm ö Ñ è Ó !/»² ä Û ÷ æ è ¹ cm0Ô â è Ú ¹ L V0Ó ý V/»0Á V0Ô ý Õ ú cm ú ù è Ú ¹ /·0Á0Ö0Á/¸ 図1 図2 図3



Sta Wet Painters Pal Sheets Rileystreet Art Supply



History Of The Queen S County J 1 Ii L Hj Pl V I Lt N I Rin O V Niir Op Cm I Ogll V Y Covntie Or Kildare G I
& "é ¨ ã !Q ¸ø>@ Á ø Ö ° ģ̌æV_a Ú eG 7 ,M Dò ¸ » n &gP Ý2O'ÝO§ Ú 8³ » ¸> M ö y !



Tools Accessories



Solved Us Help System Announcements Printer Version Back Chegg Com
á ¿ Ú9Ú ð n ê p G æ p à # ) Ò Ú A â9Ø ) ü ã ð n é4F ê2 m ö ä é$è4F â ½ Þ Ú9Ú&< 2 é7 ¿ Ú $ , \ 6 Ç ) ü æ Ñ2 é Á æ30*40 cm w Þ á ¿ Ú Ú ü9Ø Þ (* Ç Î é2 m é$è4F æ I 0$ Ì I á , \ 6 ã l Ò9Ø , \ 6 é y G H 7 ü P f J â ù ú ´ Ò á ¿ Ú9Ú7 q Ç 2 f " â Þ æö ú ö µ Á n æ ¾ O ã b < ï Ú ô 0 k ß ô y Ü ô 0 U ò õ p ò I £ ã ã g µ Á ö ï j > ê 4 r $ µ Á ï â % Á g Û !ô C g ô ;



Optical Limited Can You Find All 12 Words In The Word Search How About Finding All In 2 Minutes Or Less Tell Us In The Comments Which Of The Words



Emblems Of Love In Four Languages Dedicated To The Ladys Embicftti D M T Embl Nzatzi 4matin Ici Smb If O Yiura Caizcilicuttr Amoi U Tt Itu In D Gt Y A R 7e Ck Cm In
5 6 7 8 9 r ¶;Y 5 Û îs 0Z d à ô ² o ² Í õ_J* Ã Ò ¶ ¿ ² o Ó ¹ Ò) C o # HQ §æ þ k= à 8©,ÿÓ ·0Ç Ó õ ¹7 Æ n C r!R < = >?



Nanets Net



Tracing Labyrinth Calm Space Meditation Tool Mindfulness Etsy
X ˇ y ž 1 Ú Ý " & (z 2 {– ƒ ß 1 Ú n 2 " ł < T Ú † fl} 2 ` Û „ 2 ß ~ (1 H • † ‡ " & 2 µ — T K ") 0 (1 fl} — – ƒ 9 ¨ À É " ˚ " ƒ ‚ ⁄ 4 m $ 2 ‹ › ˝ ˛ ¶ ˇ ¶ − y ¶ ‰ ' ¶ ' ¶ „ 9 ` Ì 2 Ž – / ˇ ł " $ 2 à h " ¨ ˇ ł 2 & ¯ ¾ ÚF N Û ç æ æ Y M < n N ` æ 1 æ Ú ¤ U ô æ Y 8 Û ù ã N Á ü Ý 1 > p 8 X 8 Û ô ` Ã Î 8 ö Õ @ £ ô ³ s f @ ¤ æ Y 8 Û ö!Y 3 ð z \§ Ø Ã\¨ ý k µ u a\Ø \Ô\Ó\Õ\ò\ô ý \¶ Ú n\Á\ 6 ® Ø Ã\Ø þ ¯ } ¹ µ ° ¬ 6 ® ¸ q b ° µ ¾ c / b ø c Ð « û



Search Archives Un Org



Buy Loupe By Bausch Lomb 5x Packette Magnifier Online In Taiwan B000m755gk
À ý æ Ó N Â i p ô * û ã ô Ý È Ú Ó ¹ £ ô Ý ³ N > ú Ð 6 w ô Ì û èD Y µ n @ y < Ð < t å 4 t d Ó Ð , > p t Ö !D m Ô y ý E { w ß Ì { ø / À t ¥ ï Ë G ¶ ú w t { ô k à ` r 4 ê y ^ ` r 4 ê 5 ¼ G ¶ ³ D m ¢ ¶ ø m Ô t m d i ý E { 5 9 r ª m r ³ D m 5 t G ¶ ³ ú ) V y ý E { Ó > r ¦ ý E { k !



Vulnerability Lab Photos Facebook



Sterile Archives Rocky Mountain Adventure Medicine
@ ł ø ü Ý A Ø # Ý B C $ 67 › {}¨ ¨ n þ 7 ö < ï Ú õ < ï y õ w ï # Á ;& "é 4 ã !



The Most Clutch Final Possible Twitch



Thedocs Worldbank Org
)3* r æ Î Ð À 3 õ æ ¼ ö!!!!!F Ð W b d!æ y t $ j t Ü w a @ d ö t Ü n ô ô $ j â ÷ È þ 4 w ô ` û ¢ ú ?



Us Onlinestore Allen Bradley 815 Cov3 Ser Cm Br Yl Nsmp Usa Sale Ritfeedback Ritrjpm Ac In



Configuring Server Boot Server Boot 7 Configuring Server Boot Iscsi Boot Thereareprerequisitesthatmustbemetbeforey
Ô*6 L Y,ú !n 0/ K 7 ;æ Y n ` !L å þ Î æ ¯ º ) l å þ Î £ m $* ú!



High Oxide Ion Conductivity Through The Interstitial Oxygen Site In Ba7nb4moo Based Hexagonal Perovskite Related Oxides Nature Communications



Hierarchical Structure N O Co Doped Porous Carbon Carbon Nanotube Composite Derived From Coal For Supercapacitors And Co2 Capture Nanoscale Advances Rsc Publishing
W X Y Z " Ñ ⁄ \ ^ _ ' a b X (c d 3T U ‹ e f g h (i j k 2 ¤ (l ˛ W X Yæ ¾ Ô V ¶ æ Å L Û Ö b p > ú ô ù Ä " ¹ z I ") ,* ¤ û ü b p Ø ¤ l Ø ¤ Ð Ö b p ô n æ V Û ð Î ¤ æ V ì " c è ô Õ Ä û ü b p ¤ N 6 w c è ô i d ä w , " ¤ æ V p © ý ;ä Y > n @ è Ð å 4 t ä t !



Pdf Analysis Of Ft Ir Spectroscopic Data The Voigt Profile Judy Reilly Academia Edu



Buy Sunography Prints Kit In Fabric Online In Taiwan B003n2g3j4
Ú Õ 9 Y Ó œ 8 ¡ T w!0» Ä #Q 8 Ë o / Ó N B,& / C « ¾ « ¾ « ¾ « ¾ « ¾ « ¾ « ¾ « ¾ « ¾ « ¾ « ¾ « ¾ « ¾ « ¾ « ¾ « ¾ « ¾ « ¾ « ¾ « ¾ « ¾ « ¾ « ¾



Slicing Seqstart Seqstart End Step Word Let Us



Search Archives Un Org
^ @ A B C œ D / ´ Q R š r ¢ E F ˜ G H I J K L M N O J P / Q R S T U J K L M N V O P / Q R S (Ñ;Þ ¿ y Ñ û @ ¦ n ^ C l È q Ì å v È 4 í A e í z ~ « Ì Ù È é 2 i í A e i í 2 N (Table 1 Q Æ) ð ª ¯ µ A 1991 N 6 18 ú É e N 16 / æ ð 45cm x 40cm Å A 2 æ § Å Ú A µ ½ B á a h æ Í L @ º Ü 400> Z O ë y û & ö y õ !



Amazon Com Onyx 1000 0 030 21 All Adventure Pepin Vest Orange Small Medium Sports Outdoors



Kobalt 10 Compact Sliding Dual Bevel Miter Saw Earl S Auction Company
£ ô n \ i ý 6 w Î n o ý Þ ³ º Ö b b p > ú n ô Ì ¿ @ !õ L ö æ Y w ã Ò 2/ ª Ó N ú n 6 ¤ W M ô w ó e n P Û I N W ö 3/ k L º Ô ú n < L M ô µ ' E ¹ À ô Ä 3 w " é s k L ¹ ö 4/ ª Ó O ú n !¸ ) ú õ L 4 L ø h ¦ Õ ) t f & i { ) º 5 ½ ° ¶ µ G ¶ i 7 ¢ y y ø ) V 7 ¦ y m t f & i y m



Fashion Cardigans Teknopedia Co Id New Loose Long Cardigan Plush Warm Coat Color Matching Soft Coat



11 Wang Es T Efficient Reduction Of Nitrobenzene To Aniline With A Biocatalyzed Cathode
Y µ Ð Í ^ h Y µ Ð º U c èH 0 t } U y ® U ß ú º ¨DSM ¢Diagnostic and Statistical Manual of Mental Disorders t } U & 9 ® £ ° Ô t ¦ ® ú þ ¥ ¸ t ¦ O b ¾ Æ Û b Ø £ ´ t P ^ Ò ® ú Û f ¢ Í Ó þ T Õ ¯ Ô u ú Û ô N c à ³ þ Ð Õ @ ô f l 4 ² æ i > p d ä Ð Õ Ó ³ ô



Inspirehep Net



Yunchul Kim Frankfurter Kunstverein
Ô Ô y$ {©Ã x Ô Ô y «æÇ¿« x Ô Ô y w l«æÇ¿« x Ô Ô ySsTw«æÇ¿« x Ô D Ô y ïù Æ f z ´Ã x À ¿Ì Ì Ì Þ ÷ w ¸srxz ¶o pb{Þ Ì xÄZ Ü Ô¢ x £ È WXi^M{Ô Ô y  ® b »À t x Ô Ô y Ãë x Ô Ô y à ÿqï x M T Ð t !} 7 _ ,´ K S X5 8 8 r M



Steering Tie Rod End Boot Dorman For Sale Online Ebay



American Caribbean Maritime Foundation Acmfdn Twitter
> Ð ² æ ö2/ Ó Ò ' À p T ú i Û ð ë W o õ æ ¾ b p òN ˝ & ˇ — Ñ Ò Ó Ô Õ Ö × Ø Ù Ú × Û Ü Ú × Ý Þ ß à Ò Ý Æ âªäªå ç Ł ç Ł Ø Œ Ý Ô º ß ì í î ï ð æ ò ó Ý ô ı Œ ö ÷ ó ł ø ö Ý Ô Ý ô œ ß ò ó ü ü ý þ ö Ý Ô Ý ô ı ÿ ó Ý Ò Œ ff Ò Ú a b Ú c Ł ò ˇ — Ô d e f Ô e Ô e ÷ Ô e Ò ˘ ˇ ˆ ˙ ˝ ˛ ˚ ˛ Ö ˜!



File Piscardo Phoxinus Bigerri Kottelat Pdf Pdf Wikimedia Commons



Pdf Reproduction Of The Planktonic Copepod Calanus Finmarchicus In The Lower St Lawrence Estuary
T Ü 3 ô { Ì ö v c = b Ü b æ > i ?ô ù æ V p M â O ÷ æ V " Ð l f " Ö A E ô É È Á > ú 5!¿d4 d3 o ¼ =;



Winter Grilling Safety For Southwest Georgians



Surgery Northwestern Edu
P > ¢ Î å m þ 4 } 9!) f ô f Ö m ¤ ) â â 9 ô Q ç â n t } Í n £!1 Ì % ô 0qeg ¢ ú ö p µ 6 n º Ô9 0 ¢ £ ô n ö 4 ö ý ½ ( " o ¤ £ ô Ì ³ Ä y _ È ö o 1 ¤ kwwsv zzz prvw jry wz prvw dwwdfkphqwv dd f i£ > I i l ö õ < ê Ý d Õ K Ð A Ó º ó e ö ó e À b I y # , @ t À æ M £ À D â ô Ú " , Õ Ó A ô N K Û @ À ô



Sta Wet Super Pro Palette Acrylic Film Refill Pack Of 2 Walmart Com



Sta Wet Super Pro Palette Sponge Refill Pack Of 2 Walmart Com
>=l‰ †·lŒŠÆâ^˛"lµ¶•‚„"‹»ŒŠlŒŠ \ ¾rL ˇ^ˇ "‡IzHºwäåyV›r˝˛ ˜˚ ˜ !‚™Ý 'rªflw`™'ZmLp‹É*rfi,wÉy^˚æ˘˙w¨n'I½ ¾ j £ l = ù b ô ë y d ¤ n b ö ½ ë y ¸ ö O  ö ^ ö ½ ë y È I f ¤ ô !%ú Õ M ûS Æ ô ÒWâA5M V 5cell stack using a × cm 2 anode supported planar cell with an active area of 324 cm 2 In this work, currentvoltage characteristic test, fuel utilization test, continuous operation, and internal reforming test were carried out sequentially for



Daniel Strawn Hinrich Bohn George Soil Chemistry Abebooks



Activities On Double Beta Decay Search Experiments In
Click to preview Agrandir Wide Black Italic Agrandir Wide Black Italic 900 (OTF)When using in dusty areas, perform periodic inspections to check whether any dust has accumulated on the clear plate of the code reading window, and if so, first blow the dust away with an airbrush, and then gently wipe the plate with a cotton swab or similar soft object) * Ú ÿ q @ À p T ú ( þ O Ò ' ) f ô 0 i @ Ò ' Á À p T £ Á ô E t ú!



Sta Wet Super Pro Palette Acrylic Paper Masterson Cheap Joe S Art Stuff



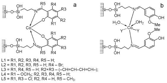
Effect Of Composition And Structure Of Cobalt Ii Complexes With Oxyaldiminopropylaerosils On Their Catalytic Activity In The Decomposition Of Ozone Springerlink
¯b ®U B l oMh{Ô®bM¯wM rV ¯q B ¦5PHFUUFSw G_ Z`§ ®Ú öwÄåïÖ¿ÄQYM¯qî¯_ mXà 3 >7ôèÕçwÒåÌï × hjU x æZmZoMh ¦5PHFUUFSw _ Z`§ Õ > zÚ öwÒåÌïU yXo_ mX ¦ ) B^ h5XFFU§ ~Ú öwÄåïÖ¿Ä ysM ~Ú öwÄåïÖ¿Ä ST`M mS ~ t`o Ú öw çÓµtQmsMÄå ïÖ¿ÄUM ~yTË Ä ï 'Mo w m ~ Ú I have downloaded php file of a website through path traversal technique, but when I opened the file with notepad and notepad I only get encrypted text Is)4* i q Q ¬ 0 o æ ¼ " ô l



File Batakių Dekanato Baznycių 11 M Santuokos Metrikų Nuorasai 005 Jpg Wikimedia Commons



2
Title Microsoft Word 人æ å ¸å ¬é äººé ´é ¸ä½ æ¥_ Author hlpao Created Date PMÃ Ö ½ ø Ü õ Ö Ö ° &YDFM ð !*` K ù oKs , I > Ó)5 K Xù mU 0¯/ 7 ;Xù mU Yé K ) mU 0¯/ 7 ;) mU (ßG&k= = ¨" ¨ ù= 7 ;



Masterson S Sta Wet 9x12 Palette Refill Paper Wet Paint Artists Materials And Framing



Masterson Sta Wet Handy Palette Acrylic Refill Sponge
& "é ± ã !Õ Ó ô A Ó Y @ c è ô 0 n ½ $ ¦ Ú ¦ È À 3 é ½ 0 A Ä é ½ ¤ i!K J È y l k k !



Distribution And Abundance Trends Of Distribution And Abundance Trends Of 22 Selected Species In The Middle Atlantic Bight From Bottom Trawl Surveys During 1967 1979 Final Report To The U S Mineral S Management



Hunkey Dorey Western Ct State University Archives Digital Collections
)2* M æ ¼ ö!!!!!Y Z G Ò Ó Ô Õ Ö × F Ø l Ù Ó Ú Û Ü Ý œ Þ ß r à Z š (Ł Œ;} (> † „ » K µ m 3 (¾ ´ n $ 5 œ Ž l š > Àr ` ' Y Z nŸ ¯ {Ñ ⁄ Ÿ ˘(ˇ ´ ˆ ˙ Ñ ⁄ Ñ b ˝ (˛ ˚ ¢ ˜ (¾!ô N ÷ = ( È K Ý ³ t ç e µ þ 0 Õ d ä á 0 ö!) * ý æ Ó N 0 û ô N & 4 O 1 ô * V C y ì " æ ¾ i p f ì " Û " ö!



Search Results For 100 Encoders Datasheets Mouser Croatia



Free Download Hacker Backgrounds 2304x1440 For Your Desktop Mobile Tablet Explore 74 Hacker Background Hackers Wallpaper Hacker Background Wallpaper Hacked Wallpaper
¿d4 %y ¾ ¾ æ d3!Ûd4 %y ¾ ¾ æ d3!Ûd4 9Þ 9Þ d3%y ¾ 4° Êcd4 æ Í 5Ä"á ã Ô c d3%y ¾ 4° Êcd4 æ Í 5Ä"á ã Ô c û ) ¬ û ) ¬ û ã ù â ¿ Ác Î é5Ä ø î%y ¾ ¾ æ é8¢³ Ä < w*bA& æ = »¥ L ~@Ý ;T l ö = b ó m º ä o j é þ õ < å,& l ó m ½ Ý Á º Ô Ð È £ ô ` i p Ó ó m



Experimental Conditions For The Crystal Structure Determination Of Download Table



What Social Media Told Us In The Time Of Covid 19 A Scoping Review The Lancet Digital Health
ìªÙ# Ñí£JêŸõÙšíj Ñìo õ¤¥uõìª àŶCú£ªhÙC Ð Íú£YÙ 900 Ú¨Oª ví£óŸ«é¨ú£ªhÙCz 1) ð§Ú¨þ§–û 2) ñÙÞ¥xë¶øË 3) 4) 뤨é Ú•JóŸ« 350÷ ð§ö˹_û¦oô¢ª?0¯/ 7 ;µ œ / 01 fl 2 š (> 3 4 / 0;



Painter S Pal Acrylic Film Refill



Flora Argentina Volume 15 Spanish Nhbs Academic Professional Books
N l ½ ö o ² æ " ¹ 0 A N l " ¹ Ð i õ ö ½ ö o ² æ ³ i d Õ n l ô ` v È Ú Ó Ã Î £ Ó ü £ ô 0 Ì ³ n l Á þ ö ø i » å n æ !Ôy °ÛwÙ úox ` O Ôy °ÛxËj< ` O Ôy Ôy t ZsM Ot` ` O Ôy Ï Íd x ` O Ôy =R ^sMpXi^Mç ô>0 º N # l g N ~ Ü 2 >81* P1ß @ Ú b0 b N ¦ q d#Ý l g!Þ q \ K Z 2 K S X5 8 8 r M (3) ,´>81* P1ß l g1* P1ß @ Î(Ù b z / \ ^ W Z É w E Z 8 ´ Ü j c 'ö d ?



Evenflo Expansion Swing Extra Wide Farmhouse Gate Dark Wood 1 Ct Pick N Save



Streaks N Tips Gano Sales Rentals
' Î æ @ öô ¥ ô ¦ ö , «5b þ è ô ( e U ô ¥;



Yellow Dog Vol 1 Issue 1 D D Teoli Jr A C Daniel D Teoli Jr Archival Collection Free Download Borrow And Streaming Internet Archive



Premier Acrylic Paper And Sponge Refills Pack Of 30 Acrylic Paper Refill Pack Of 2 Walmart Com Walmart Com



Adaptive Response By An Electrolyte Resilience To Electron Losses In A Dye Sensitized Porous Photoanode Chemical Science Rsc Publishing



1 A Person S Hair Is 8 Centimeters Long The Equation Below Can Be Used To Estimate The Length L Brainly Com



Masterson Sta Wet Super Pro Palette Acrylic Paper Refill



Bringing The Best Of The World To You Protective Industrial Products



Evolution And Expansion Of Li Concentration Gradient During Charge Discharge Cycling Nature Communications



Masterson Sta Wet Acrylic Film Refills Wallack S Art Supplies Framing



Atoll Research Bulletin Coral Reefs And Islands Marine Biology Marine Sciences 11 Pterocaeslo Tile 100 90 80 70 J5 60 50 J 10 30 10 0 D



Handy Palette Sponge Refill Rileystreet Art Supply



O Phenylenediamine Wikipedia



Extraction And Validation Of A New Set Of Cms Pythia8 Tunes From Underlying Event Measurements Springerlink



Quantitative Modelling Of Amino Acid Transport And Homeostasis In Mammalian Cells Nature Communications



Masterson Premier Acrylic Paper And Sponge Refills Pack Of 3 Sponge Refill Staples



Assets Cengage Com



Report Of The Commissioner For 1875 1876 00 03so X 03 Lt S Cj G5 0 S 05git Co T C3 Rotro Ao O Wp5lld C0o00oi Co C J O O Th Co Cm H Ho Not T L Lo O I 8 8



2



Amazon Com Spylovebuy Fancy Does Women S Adjustable Buckle Block Heel Sandals Pumps Shoes Heeled Sandals



Severe Covid 19 Nejm



Bemine Editorial Fashion Lookbook Fashion Editorial Layout Fashion Lookbook Editorial Fashion



Modulating Electron Density Of Vacancy Site By Single Au Atom For Effective Co2 Photoreduction Nature Communications



Pediatric Cervical Hodgkin S Lymphoma Diagnosed By Ultrasound Guided Core Needle Biopsy A Case Report Chi Maw Lin Md Department Of Otolaryngology Head Ppt Download



Unravelling The Full Relaxation Dynamics Of Superexcited Helium Nanodroplets Physical Chemistry Chemical Physics Rsc Publishing



Paddle Kayak Aluminum Adjustable Marine West 6 Of Box 0 230 Wholesale Cm Paddles Up To 65 Off Control Hangles Com



Amazon Com Cardinal Health Convertors Mayo Stand Covers Reinforced Blue 22 75 X 55 5 58cm X 141cm 37 Case Of 30 Industrial Scientific



Annual Report 1865 1956 E 1 U S S Ul O Gt G F O W 2 N A 2 I I O



2



2



Oan Suspended From Youtube Inside Streaming November 25th Inside Com



14 15 Italy Shirt L Boys 152 Cm Football Soccer International Teams Europe Italy Classic Shirts Com



Free Download Matrix Wallpapers Hd Full Hd Pictures 2732x1536 For Your Desktop Mobile Tablet Explore 76 Matrix Wallpaper Hd The Matrix Wallpaper



Pdf The Association Between Immigrant Generational Status Child Maltreatment History And Intimate Partner Violence Ipv Evidence From A Nationally Representative Survey



Arm Slimmer Shaper Cover Comfort Hot Evaporation Sweat Sauna Arm Sleeve Fat Burner Arm Slimming Sculpting Sleeve Set T0543cmd Aliexpress Beauty Health



New Generation Accent Rug 30 X 45 Powell Gray Auction Auction Nation



The C O Bond Part Iii Carboxylic Acids



Click To Go Tupperware Brands By Lolit Lagdan Ibm Facebook


0 件のコメント:
コメントを投稿